
Retroscena
Allenamento della forza: quanto spesso devo praticarlo?
di Claudio Viecelli

Non esistono pillole magiche! L'unico modo per combattere la perdita muscolare nella vecchiaia è allenare la forza.
La mancanza di forza e massa muscolare può causare cadute e fratture che devono essere trattate in ospedale. Inoltre, la riduzione di massa e forza muscolare in età senile riduce gravemente la qualità della vita e pesa fortemente sul nostro sistema sanitario.
Bisogna sottolineare che non ci sono farmaci in grado di fermare o mitigare questi naturali processi di degradazione. Ma fortunatamente esiste un antidoto ultrapotente disponibile a tutti e gratis: l’allenamento della forza, che non costa nulla e richiede solo un po’ di tempo.
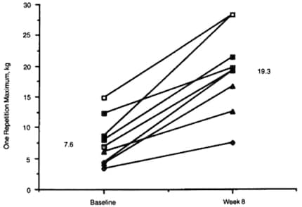
L'allenamento della forza è un efficacie antidoto anabolico contro la sarcopenia, poiché aumenta sia la massa che la forza muscolare anche nelle persone anziane. Fiatarone e colleghi [1] hanno sottoposto dieci volontari istituzionalizzati di 90 ± 1 anni a otto settimane di allenamento di forza intensivo. L'aumento della forza è stato in media del 174 % ± 31 % (media ± SEM) (vedi fig.). L'area del muscolo della coscia è aumentata del 9 ± 4,5 %. L'allenamento della forza porta quindi a un significativo aumento di forza e massa muscolare, nonché della mobilità funzionale nelle persone anziane.
![Effetti dell'allenamento sulla forza dei muscoli estensori del ginocchio. Forza massima dei muscoli del ginocchio sinistro prima e dopo 8 settimane di allenamento intensivo in soggetti di età compresa tra gli 87 e i 96 anni. I simboli stanno per i singoli soggetti. Adattato da [1].](https://static.digitecgalaxus.ch/im/Files/6/0/3/8/2/6/9/8/AGk0z-NFlR2Y40VK54xM2kKh86p_2aaDG3zoPzT51WBPfpF62yWuMSDASwGVmFF1InPHUUovWEuwcekEbCLlRFUdV5evR8c6vZNnqQyQZ5Is512.png?impolicy=resize&resizeWidth=430)
Churchward-Venne et al. [2] volevano sapere se esistono persone anziane che non rispondono all'allenamento della forza. A questo scopo, ha reclutato uomini e donne anziani (n = 110, 72,6 ± 0,6 anni) e li ha fatti allenare sotto supervisione per 12 o 24 settimane, misurando la massa muscolare, la sezione trasversale del muscolo, la forza e i parametri funzionali.
In risposta all'allenamento della forza, la massa muscolare è aumentata di 0,9 ± 0,1 kg nel gruppo di allenamento da 0 a 12 settimane e di 1,1 ± 0,2 kg nel gruppo da 0 a 24 settimane. Inoltre, l'analisi della sezione trasversale delle fibre muscolari ha mostrato un aumento medio della sezione trasversale delle fibre di tipo 1 di 324 ± 137 μm2 e di tipo 2 di 701 ± 137 μm2 da 0 a 12 mesi. Dopo 24 settimane, l'area della sezione trasversale delle fibre di tipo 1 è aumentata di 360 ± 157 μm2 e quella delle fibre di tipo 2 di 779 ± 161 μm2.
L’aumento della forza misurata tramite 1-RM sulla leg press e rispettivamente sulla leg extension hanno mostrato un aumento di 33 ± 2 kg e 20 ± 1 kg da 0 a 12 settimane e un aumento di 50 ± 3 kg e 29 ± 2 kg da 0 a 24 settimane.
Come parametro funzionale è stata esaminata la velocità con la quale i soggetti riuscivano ad alzarsi da una sedia prima e dopo lo studio. Il tempo per alzarsi dalla sedia è diminuito di 1,3 ± 0,4 s da 0 a 12 settimane e di 2,3 ± 0,4 secondi da 0 a 24 settimane. Gli autori hanno concluso che tutti i soggetti hanno risposto in modo significativo all'allenamento della forza, poiché ogni soggetto ha avuto almeno un risultato positivo.
Wroblewski et al. [3] hanno studiato la composizione corporea, la coppia di picco e la sezione trasversale del quadricipite di 40 atleti di età compresa tra 40 e 81 anni che si allenavano da 4 a 5 volte a settimana. I soggetti erano principalmente corridori/atleti, ciclisti e nuotatori. L'area muscolare totale di metà coscia, misurata tramite risonanza magnetica, non cambiava significativamente tra i gruppi di età. Tuttavia, l'area del quadricipite era inferiore del 20% nel gruppo di persone oltre i 70 anni, rispetto ai gruppi di età di 40-49 e 50-59. Gli autori non hanno osservato differenze nella coppia di picco del quadricipite fino al gruppo di età di 60-69 anni, che generava una coppia motrice significativamente più bassa rispetto ai gruppi di età inferiore. Il confronto tra i gruppi di età di 60, 70 e 80 anni non ha mostrato alcuna differenza significativa nella coppia di picco.
Quindi, anche se la coppia di picco diminuisce a partire dai 60 anni, il recesso non si intensifica significativamente con l'età. I valori sono simili anche quando si calcola la coppia di picco per area muscolare. La forza di un’area muscolare specifica non diminuisce con l'età. Da queste osservazioni, si può concludere che la diminuzione di massa e forza muscolare non è dovuta esclusivamente all'età, poiché sia la forza che la massa muscolare si mantengono tramite un allenamento a lungo termine. Ecco perché bisognerebbe allenare la forza per tutta la vita. Se si guardano le immagini di risonanza magnetica di un triatleta di 40 anni e di uno di 70, non si vede quasi nessuna differenza. A lungo termine, un allenamento muscolare può quindi farti ringiovanire di 30 anni in termini muscolari.
![Effetti dell'allenamento sulla forza dei muscoli estensori del ginocchio. Forza massima dei muscoli del ginocchio sinistro prima e dopo 8 settimane di allenamento intensivo in soggetti di età compresa tra gli 87 e i 96 anni. I simboli stanno per i singoli soggetti. Adattato da [1].](https://static.digitecgalaxus.ch/im/Files/6/0/3/8/2/6/9/8/AGk0z-NFlR2Y40VK54xM2kKh86p_2aaDG3zoPzT51WBPfpF62yWuMSDASwGVmFF1InPHUUovWEuwcekEbCLlRFUdV5evR8c6vZNnqQyQZ5Is512.png?impolicy=resize&resizeWidth=430)
I muscoli hanno la capacità di adattarsi per tutta la vita. Scuse del tipo «alla mia età, allenare la forza non ha più senso» si rivelano invalide dagli studi di cui sopra. Anzi, consigliamo vivamente alle persone anziane di allenarsi regolarmente nella routine quotidiana.
Non farti cambiare dall’età, ma cambia tu il modo in cui invecchi.
Immagini: Shutterstock
Biologo molecolare e muscolare. Ricercatore presso l'ETH Zurigo. Atleta di forza.
Curiosità dal mondo dei prodotti, uno sguardo dietro le quinte dei produttori e ritratti di persone interessanti.
Visualizza tutti
Retroscena
di Claudio Viecelli

Retroscena
di Claudio Viecelli

Retroscena
di Anna Sandner